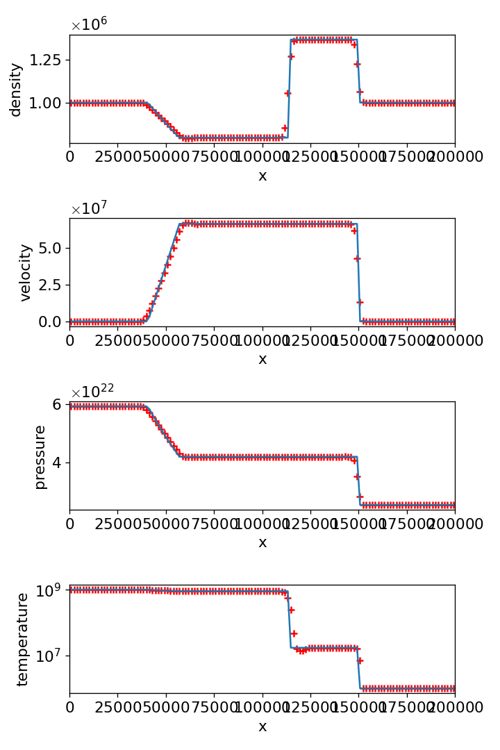
2025-09-19 / Sod_stellar-test3-2d
- Build/Test information:
- Build directory: Exec/hydro_tests/Sod_stellar/
- Parallel run
- Files:
- Dimensionality: 2
- Compilation:
Successful
- Compilation time: 0.962 s
- Compilation command:
gmake -j30 AMREX_HOME=/raid/testing/castro-gfortran/amrex/ MICROPHYSICS_HOME=/raid/testing/castro-gfortran/Microphysics/ DEBUG=FALSE USE_ACC=FALSE USE_MPI=FALSE USE_OMP=TRUE DIM=2 CASTRO_HOME=/raid/testing/castro-gfortran/Castro/ COMP=gnu TEST=TRUE TINY_PROFILE=TRUE USE_CCACHE=TRUE AMREX_CCACHE_ENV='CCACHE_MAXSIZE=20G'
- make output
- Execution:
- Execution time: 1.681 s
- Execution command:
./Castro2d.gnu.TEST.TPROF.OMP.ex inputs-test3-helm amr.plot_file=Sod_stellar-test3-2d_plt amr.check_file=Sod_stellar-test3-2d_chk amr.checkpoint_files_output=0 fab.format=NATIVE amrex.fpe_trap_invalid=1 castro.store_omegadot=1 castro.store_burn_weights=1
- execution output
- job_info
- Comparison:
- Analysis:
/raid/testing/castro-gfortran/amrex/Tools/Plotfile//fcompare.gnu.ex --abort_if_not_all_found -n 0 /raid/testing/castro-gfortran/Castro-SBU-benchmarks/Sod_stellar-test3-2d_plt00070 Sod_stellar-test3-2d_plt00070
| variable name | absolute error | relative error |
| | (||A - B||) | (||A - B||/||A||) |
| level = 0 |
| density | 0.0 | 0.0 |
| xmom | 0.0 | 0.0 |
| ymom | 0.0 | 0.0 |
| zmom | 0.0 | 0.0 |
| rho_E | 0.0 | 0.0 |
| rho_e | 0.0 | 0.0 |
| Temp | 0.0 | 0.0 |
| rho_C12 | 0.0 | 0.0 |
| rho_O16 | 0.0 | 0.0 |
| rho_Mg24 | 0.0 | 0.0 |
| pressure | 0.0 | 0.0 |
