- Build/Test information:
- Build directory: Exec/mhd_tests/BrioWu
- Parallel run
- Files:
- Dimensionality: 3
- Compilation:
Successful
- Compilation time: 2.070 s
- Compilation command:
gmake -j30 AMREX_HOME=/raid/testing/castro-gfortran/amrex/ MICROPHYSICS_HOME=/raid/testing/castro-gfortran/Microphysics/ DEBUG=FALSE USE_ACC=FALSE USE_MPI=TRUE USE_OMP=FALSE DIM=3 CASTRO_HOME=/raid/testing/castro-gfortran/Castro/ USE_MHD=TRUE COMP=gnu TEST=TRUE TINY_PROFILE=TRUE USE_CCACHE=TRUE AMREX_CCACHE_ENV='CCACHE_MAXSIZE=20G'
- make output
- Execution:
- Execution time: 19.959 s
- Execution command:
mpiexec -n 4 ./Castro3d.gnu.TEST.TPROF.MPI.ex inputs.sod.test amr.plot_file=Sod-mhd_plt amr.check_file=Sod-mhd_chk amr.checkpoint_files_output=0 fab.format=NATIVE amrex.fpe_trap_invalid=1 castro.store_omegadot=1 castro.store_burn_weights=1 amr.plot_files_output=1
- execution output
- job_info
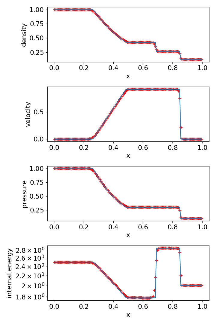
- Comparison:
- Analysis:
/raid/testing/castro-gfortran/amrex/Tools/Plotfile//fcompare.gnu.ex --abort_if_not_all_found -n 0 /raid/testing/castro-gfortran/Castro-SBU-benchmarks/Sod-mhd_plt00081 Sod-mhd_plt00081
| variable name | absolute error | relative error |
| | (||A - B||) | (||A - B||/||A||) |
| level = 0 |
| density | 0.0 | 0.0 |
| xmom | 0.0 | 0.0 |
| ymom | 0.0 | 0.0 |
| zmom | 0.0 | 0.0 |
| rho_E | 0.0 | 0.0 |
| rho_e | 0.0 | 0.0 |
| Temp | 0.0 | 0.0 |
| rho_X | 0.0 | 0.0 |
| pressure | 0.0 | 0.0 |
| x_velocity | 0.0 | 0.0 |
| y_velocity | 0.0 | 0.0 |
| z_velocity | 0.0 | 0.0 |
| B_x | 0.0 | 0.0 |
| B_y | 0.0 | 0.0 |
| B_z | 0.0 | 0.0 |
